- Trang chủ
- Tin tức
THI TỐT NGHIỆP THPT 2024: Đề thi, đáp án MÔN TOÁN
Bộ Giáo dục và Đào tạo công bố đáp án môn Toán kỳ thi tốt nghiệp THPT năm 2024. Đội ngũ chuyên gia giáo dục Công ty Cổ phần Công nghệ Giáo dục AES thực hiện, đăng tải.
Chiều 27/6 diễn ra môn thi thứ 2 của kỳ thi tốt nghiệp THPT. Các thí sinh làm bài thi môn Toán trong 90 phút với 50 câu trắc nghiệm phân hóa từ dễ đến khó.
Môn Toán thí sinh có điểm tuyệt đối sẽ không nhiều
Nhận xét về đề thi môn Toán tốt nghiệp THPT năm 2024, thầy Nguyễn Quang Thi, Trường PTTH Bảo Lộc, Lâm Đồng cho biết, lấy cụ thể mã đề 102, thầy Thi nhận thấy các câu hỏi trong đề thi quen thuộc như đề thi tốt nghiệp năm 2023. Số câu hỏi dễ và khó được phân đều cho các chủ đề mà các em được học trong chương trình lớp 11 và lớp 12.
Tuy nhiên, số câu hỏi cơ bản năm nay lại dễ hơn số câu hỏi câu hỏi cơ bản của năm 2023, còn số câu hỏi nâng cao thì tương đương năm 2023.
Trong đó, có 38 câu chỉ ở mức độ nhận biết và thông hiểu, coi như là tái hiện kiến thức nên học sinh nào cũng làm được; từ câu 39 trở đi là câu hỏi nâng cao và độ khó tăng dần.
Đề thi có một số câu của chương trình lớp 11 như câu 17, câu 18, câu 33, câu 34 và câu 37 nhưng quen thuộc và học sinh nào cũng làm được.
Một số câu nâng cao để phân loại học sinh là câu 44, câu 46, câu 47, câu 48, câu 49 và câu 50. Với những câu này là một sâu chuỗi kiến thức đòi hỏi học sinh biết lập luận, suy đoán và tính toán nhanh mới làm được.
"Tóm lại, đề thi tốt nghiệp năm nay như vậy là phù hợp; học sinh trung bình và yếu làm được từ 5 điểm đến 6,2 điểm, học sinh khá làm được từ 6,2 điểm đến 8,2 điểm, học sinh giỏi làm được từ 8,2 điểm đến 9,2 điểm, còn lại dành cho học sinh xuất sắc và có điểm tuyệt đối nhưng không nhiều". Thầy Thi nhận xét.
Đáp án môn Toán

























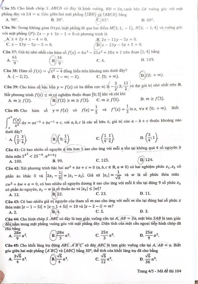
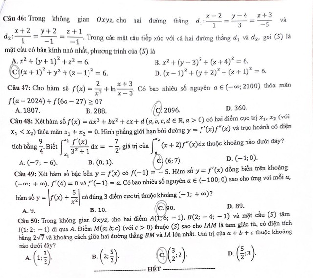
Đề thi tốt nghiệp THPT môn Toán năm 2024 (mã đề 104)





Đề thi tốt nghiệp THPT môn Toán năm 2024 (mã đề 105)





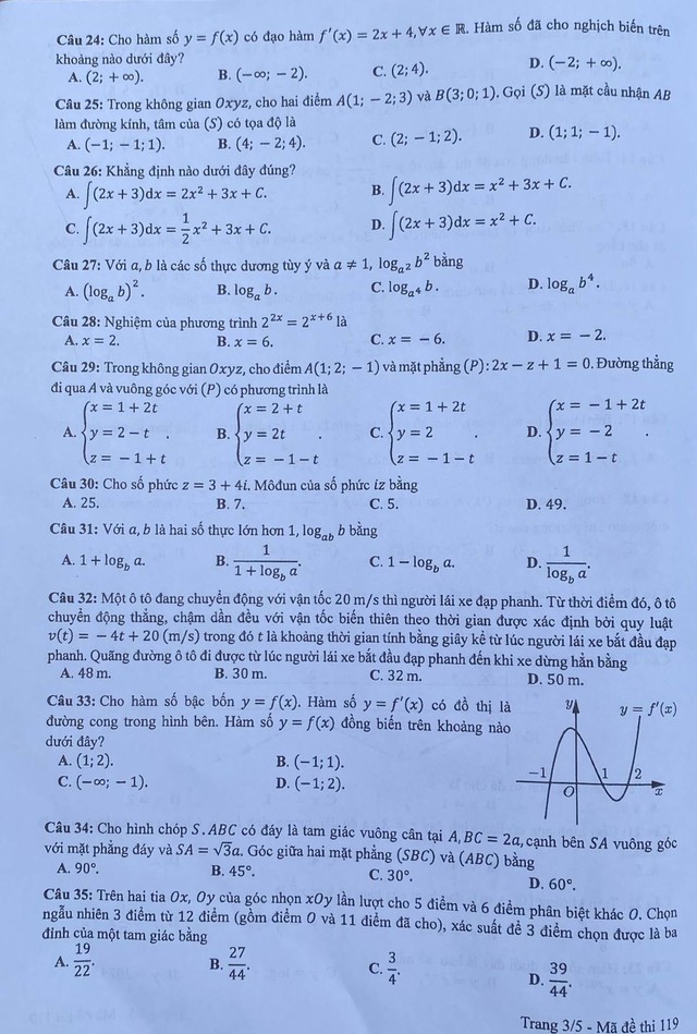
Đề thi tốt nghiệp THPT môn Toán năm 2024 (mã đề 119)





"Lễ hội Văn hóa thế giới tại Hà Nội" lần thứ nhất diễn ra từ ngày 10 - 12/10/2025
Lễ hội Văn hóa Thế giới tại Hà Nội hứa hẹn trở thành sự kiện văn hóa đối ngoại lớn nhất năm 2025, quy tụ 48 đại diện quốc tế tham gia.
Tổng Bí thư: Tháo gỡ điểm nghẽn và tạo xung lực phát triển khoa học, công nghệ, chuyển đổi số
Tổng Bí thư Tô Lâm nhấn mạnh, những hạn chế, điểm nghẽn nếu không kịp thời tháo gỡ sẽ trở thành nguy cơ ảnh hưởng đến mục tiêu phát triển khoa học, công nghệ, đổi mới sáng tạo và chuyển đổi số quốc gia.
Hợp tác giữa nhà trường và doanh nghiệp trong đào tạo nhân lực chất lượng cao cho ngành game Việt Nam
Theo TS. Cao Minh Thắng, việc cải thiện chất lượng nguồn nhân lực ngành Game cần bắt đầu từ việc đồng bộ chương trình đào tạo với thực tế sản xuất, tăng cường trải nghiệm thực tiễn, và thúc đẩy hợp tác nhà trường – doanh nghiệp.